平方完成の解き方(公式と計算問題)
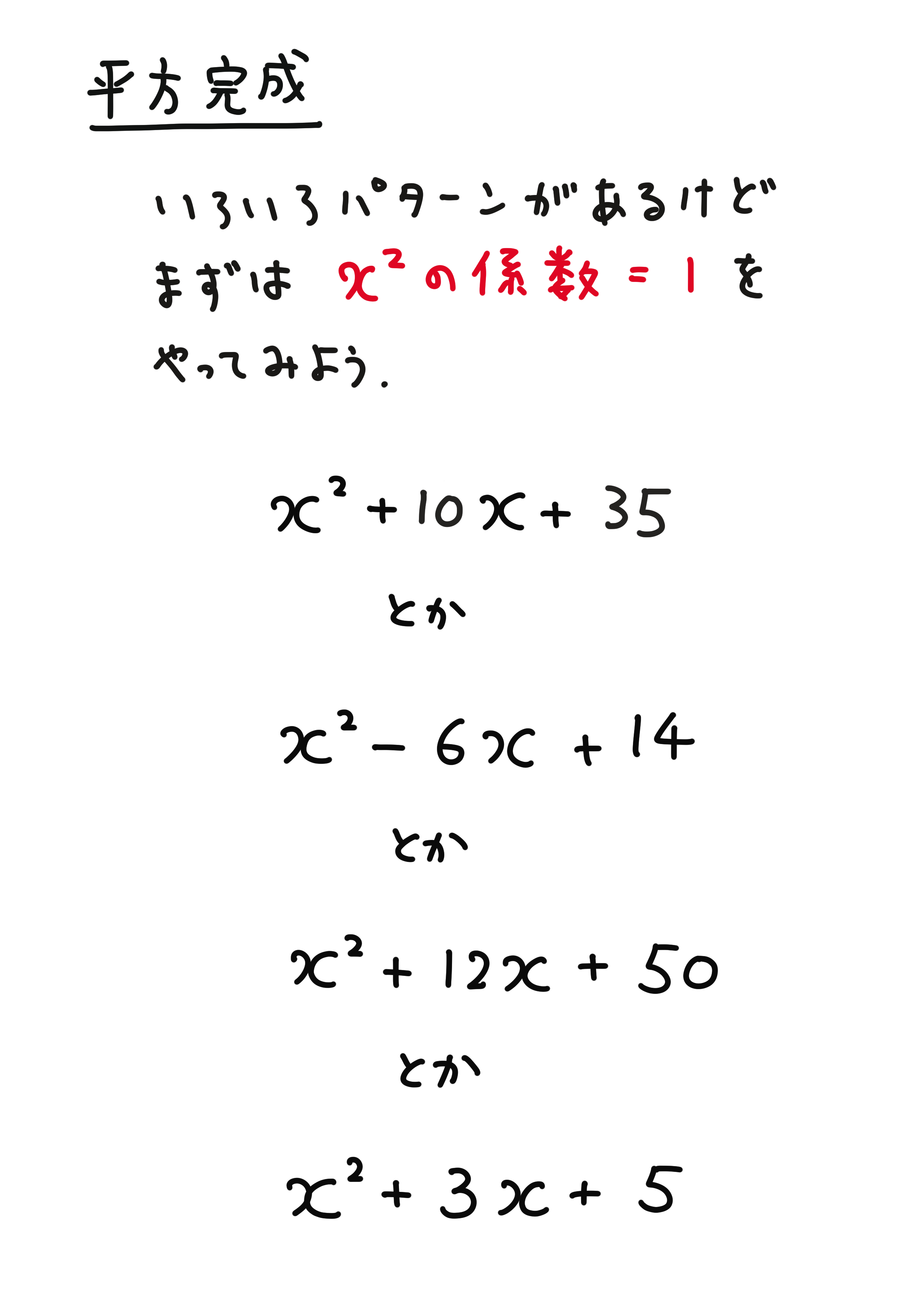
平方関数はいろいろパターンがありますが、まずは二次の係数が1の問題を解けるようにしましょう。
係数が1のとき

平方完成1の1

平方完成1の2

平方完成1の3

平方完成1の4

平方完成1の5

平方完成1の6
真ん中の項が負の場合を考えてみました。正の場合と同じように一次の項を半分してなんやかんやとこねくり回すのですね。

平方完成1の7
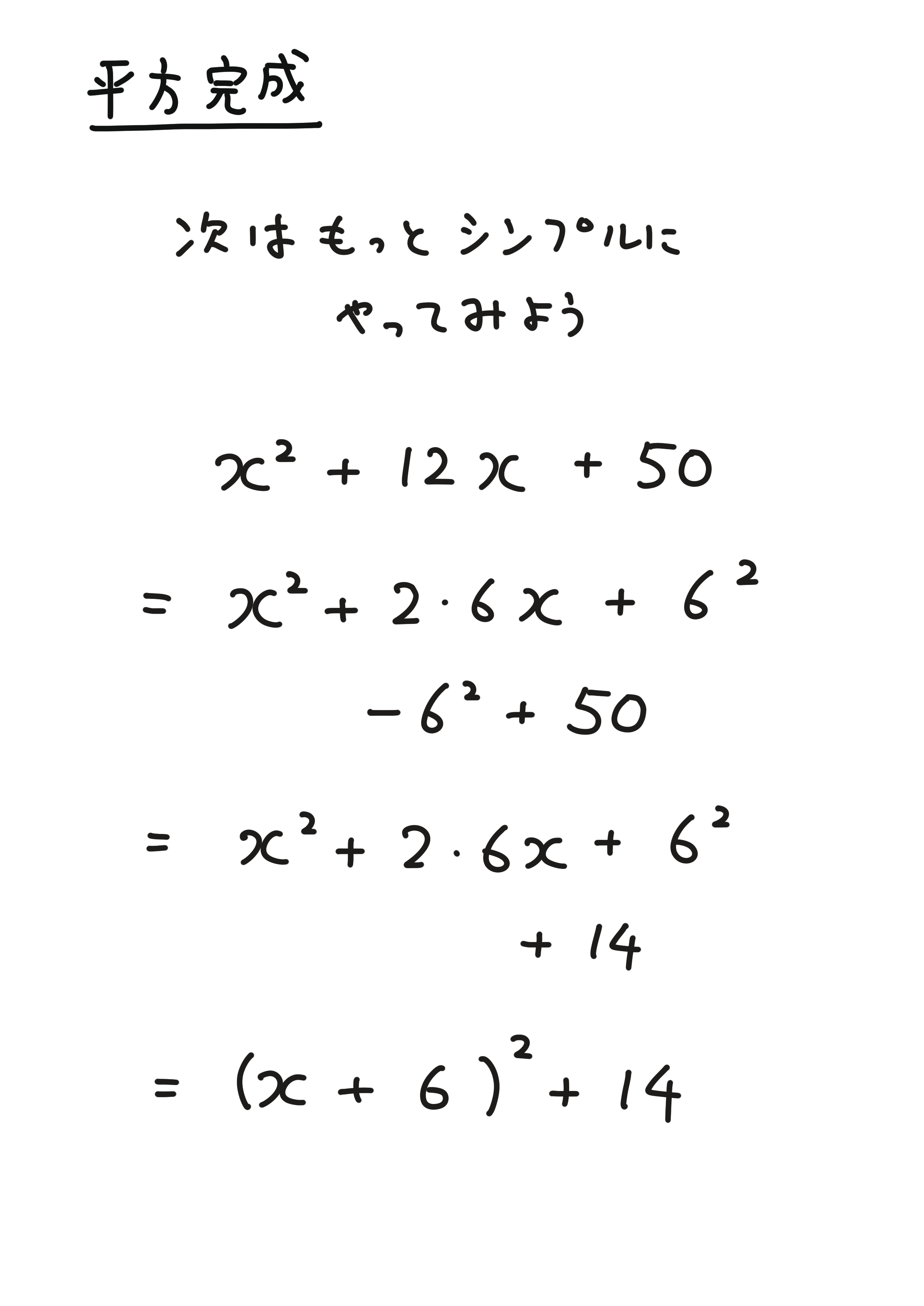
ちょっと途中経過を省いてみました。上のプリントが「わかる!」となったらもう大丈夫です。今まで意図的に一次係数を偶数にしてきましたが、今回は奇数です。
奇数の場合、今まで通り半分にしてこねくり回そうとすると、分数が出てきてめんどくさくなります。

平方完成1の8
計算が少し複雑になっただけで、やり方はまったく変わりません。 二次係数(二乗の係数)が1の問題を解けるようにしましょう。ポイントは真ん中の係数を半分にすること。半分にした数を二乗した数を足して引くというクッションを置くことで、その後の因数分解がスムーズに進みます。
平方完成(二次係数が2以上の場合)

平方完成2の1

平方完成2の2

平方完成2の3

平方完成2の4

平方完成2の5

平方完成2の6

平方完成2の7

平方完成2の8

平方完成2の9
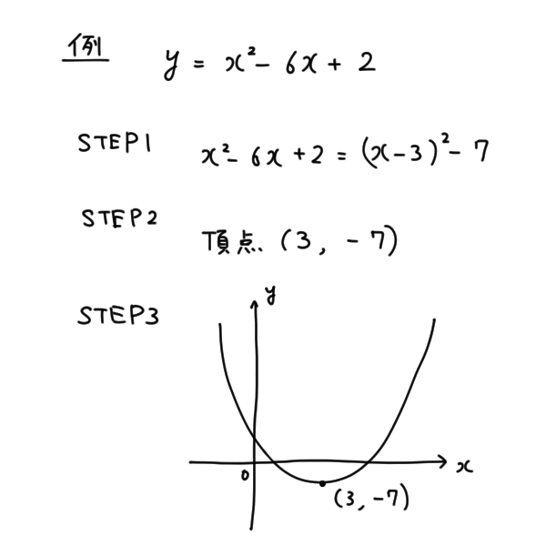
二次関数の頂点とグラフ

二次関数頂点1
二次関数のグラフは中学生の時に習ったように山かおわんで、形はつまるところ二パターンしかありません。あとは山またはおわんのてっぺん(または底)の位置さえわかれば、グラフが完全にかけます。この山のてっぺん、またはおわんの底を頂点といいます。

二次関数頂点2

二次関数頂点3

二次関数頂点4
グラフは平方完成、頂点の決定、グラフ化の三ステップで描きます。平方完成して出てきたカッコの中の数字と、カッコの外の数字が、頂点のX、Y座標になります。先ほど説明したように頂点さえわかれば、山またはおわんを描くことでグラフが完成します。
・平方完成
・頂点の決定
・グラフを描く

二次関数頂点5

二次関数頂点6











