ベンゼン環と芳香族化合物の基本
6 つの炭素が環状につながった物質をベンゼンという。ベンゼンの炭素間結合は単結合と二重結合で表すが、実際は単結合でも二重結合でもない。
\chemfig{*6(-=-=-=)}
ベンゼンの炭素間結合は 6 つともすべて同じで、「単結合と二重結合の真ん中」である。一部の学校では、下図のように六角形と丸の組み合わせで表す場合もある。
\chemfig{**6(------)}
大学入試では問題冊子の始めにベンゼンの書き方が指定されている場合が多い。問題を解く前にチェックしよう。当サイトではさらに簡略化してただの六角形で表すことがある。
また、ベンゼンの炭素についている水素は基本的に書かない

芳香族炭化水素2
ベンゼンの炭素にくっついている水素は書かない。ただし「そこに水素があること」を明示したいときは書くときもある。
水素置換
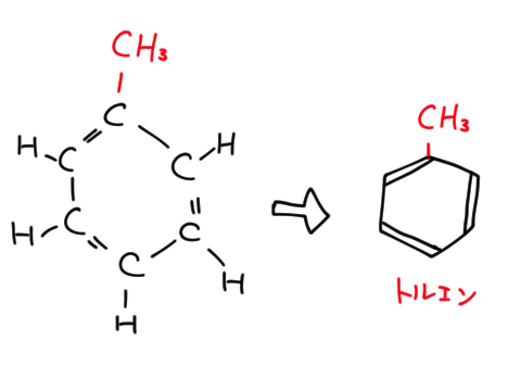
ベンゼンについている水素は CH3 などに置換できる。ベンゼンとベンゼンの置換物を総称して芳香族化合物という。

芳香族炭化水素3
例えば一つの水素が CH3 に置換されたものをトルエンという。
例

芳香族炭化水素4

芳香族炭化水素5
フェノールと安息香酸は有機化学の中心的物質である。一つの水素が置換された芳香族化合物は 6 つのグループがある。

芳香族炭化水素6-1
上3つ(炭化水素、アミン、ニトロ)は中性、下3つ(フェノール類、カルボン酸、スルホン酸)は酸性。ただしアミンは弱塩基性。
中性(またはそれに近いもの)
- 炭化水素
- 芳香族アミン … ベンゼン環+アミノ基
- ニトロ化合物 … ベンゼン環+硝酸
酸性
- フェノール類
- カルボン酸 … ベンゼン環+COOH
- スルホン酸 … ベンゼン環+硫酸
6つの炭素が環状に結合した物質をベンゼンという。ベンゼンの水素をアミノ基などで置換した物質を芳香族化合物という。ベンゼンの炭素間結合は単結合でも二重結合でもない。














