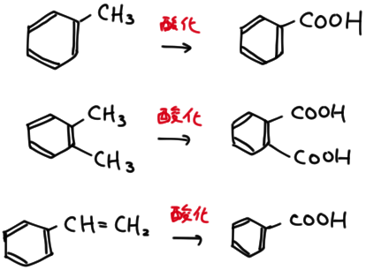
ベンゼン環の側鎖の酸化と安息香酸
ベンゼン環の側鎖のうち、炭素が 1 つ以上ついたものは、酸化されるとすべて COOH になる。

上図のようにトルエンを酸化すると安息香酸になるが、一番下のスチレンもまた酸化されると安息香酸になる。
側鎖の炭素数は 1 つでも 2 つでも関係なく、酸化されるとすべて COOH になる。
キシレンのように側鎖が分かれているものは、それぞれの鎖が COOH になる。キシレンが安息香酸になることはない。
ベンゼン環の側鎖のうち、炭素が 1 つ以上ついたものは、酸化されるとすべて COOH になる。















