フェノール類(クレゾール、サリチル酸)とフェノールの合成法
ベンゼン環にOH基(ヒドロキシ基)がついた物質をフェノール類という。フェノール類は塩化鉄(Ⅲ)水溶液で赤紫~青紫色に呈色する。

芳香族炭化水素12
フェノール
\chemfig{*6(-=-=(-OH)-=)}
フェノールは水にわずかに溶けて弱酸性を示す。酸の強さはよく問われる。
塩酸 > 酢酸 > 炭酸 > フェノール
フェノールは中性に近い。フェノールの酸の性質はフェノールの合成に利用される。
フェノールとナトリウム
フェノールはナトリウムと反応するとナトリウムフェノキシドになり、水素が発生する。
フェノールと無水酢酸
フェノールと無水酢酸を反応させると酢酸フェニルと酢酸ができる。この反応で無水酢酸の1分子がフェノールに結合し、残り1分子が酢酸になる。
フェノールと臭素
フェノールは3分子の臭素と反応して2,4,6-トリブロモフェノールになり、3分子の臭化水素が発生する。
フェノールと硝酸
フェノールは3分子の硝酸と反応してピクリン酸になり、3分子の水が生じる。
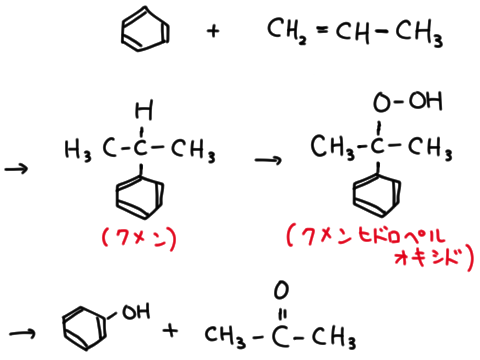
フェノールの合成(クメン法)

芳香族炭化水素14
触媒のもとベンゼンにプロピレンを加えると、付加反応が起きてクメンという物質になる。クメンを酸化するとクメンヒドロペルオキシドになる。
クメンヒドロペルオキシドを硫酸で分解すると、フェノールとアセトンができる。この製造法をクメン法といい、フェノールの製造法でもあり、アセトンの製造法でもある。
フェノールの合成(ナトリウムフェノキシド経由)

芳香族炭化水素15

芳香族炭化水素16
まずベンゼンスルホン酸ナトリウム(ベンゼンスルホン酸と水酸化ナトリウム水溶液を中和したもの)を、加熱して融解した水酸化ナトリウム(水酸化ナトリウム水溶液ではないに入れる。
加熱融解した水酸化ナトリウムに物質を入れることをアルカリ融解という。アルカリ融解によってベンゼンスルホン酸ナトリウムはナトリウムフェノキシドと亜硫酸ナトリウムに分解する。
このナトリウムフェノキシドに塩酸を加えるとフェノールが遊離する。この反応は弱酸+強塩基の塩に強酸を加えると弱酸が遊離する反応である。
クレゾール

芳香族炭化水素13
サリチル酸
サリチル酸はベンゼン環にCOOHとOHが結合した芳香族化合物。













