球の体積と表面積(公式と計算問題と証明)
中学1年生の3学期で球の体積と表面積を習います。球の半径をrとすると、体積と表面積は次のように求めます。

球の体積と表面積
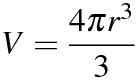
体積の公式

b1
「身の上心配アール3乗」と覚える。
表面積の公式

b2
「心配アール2乗」と覚える。
問題
(1) 半径 1cm の球の体積と表面積は求めなさい。
(2) 半径 2cm の球の体積と表面積は求めなさい。
(3) 半径 3cm の球の体積と表面積は求めなさい。
(4) 半径 4cm の球の体積と表面積は求めなさい。
(5) 半径 6cm の球の体積と表面積は求めなさい。
解答
(1)
[417]
[429]
(2)
[437]
[458]
(3)
[423]
[427]
(4)
[452]
[448]
(5)
[456]
[434]
半径3cmの球の体積と表面積は等しい。
補足
上の練習問題で、半径が2cmの球は半径が1cmの球に比べて、体積は8倍、表面積は4倍になっています。
- 半径が2倍になると、体積は8倍になる。
- 半径が2倍になると、表面積は4倍になる。
同じように
- 半径が3倍になると、体積は27倍になる。
- 半径が3倍になると、表面積は9倍になる。
となります。
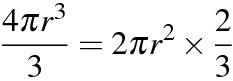
球の体積は球をすっぽりつつむ円柱の体積の2/3倍
半径rの球がちょうど入る円柱を考えます。これは半径rの円を底面とする、高さが2rの円柱です。缶詰の中に野球ボールがあるようなイメージです。実はこの野球ボールの体積は缶詰の体積の2/3倍です。
円柱の体積
[436]
球の体積
[443]

c3
となります。
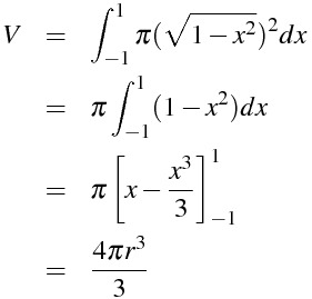
球の体積を証明する(高校以上)
球は半円を(直径を軸として)回転させた図形です。球を単位円の上半分

d2
をx軸を軸として回転させた図形と考えます。球の体積をVと書くことにすると

d1
となります。
球の表面積の証明
球の表面積は球の体積から求められます。感覚的な議論になりますが、立体図形を理解する上で重要なポイントが出てきます。
球を「球の中心を頂点とする円錐」の集まりとみなすと、球の体積は球の表面積に半径をかけて3で割った値になります。なぜなら円錐の体積は底面と高さをかけて3で割って求めるからです。
球の体積は

c2
であるため、球の表面積をSとすると

e1
となり

b2
という公式が導かれます。この考え方は立方体にも通用します。立方体の半径をrとすると
立方体の体積 = r3
立方体の表面積 = 6r2
となります。一方、立方体は「立方体の中心を頂点、立方体の各面を底面とする四角錐」に分割できることから、立方体の体積は立方体の表面積にr/2をかけて3で割った値になるはずです。
6r2 × r/2 ÷ 3 = r3
となりもともとの値と一致しました。












