音速の公式と計算:音は気温が1度上がるごとに秒速0.6mずつ速くなる|小学理科
音には速さがあります。救急車の音は、救急車から私たちの耳に向かって進みます。もし救急車と私たちが1kmくらい離れていたら、救急車が音を鳴らして約3秒後に、私たちはその音を聞くことになります。
音速の公式
音速は気温0度のときに秒速331mです。つまり1秒で331m動きます。気温が1度上がるごとに音速は秒速0.6m速くなることがわかっているため、音速の公式は
◯度の音速 = 331 + 0.6 × ◯
となります。◯に入るのは気温です。

velocity-1
音速の計算(雷はどのくらい離れたところに落ちたか?)
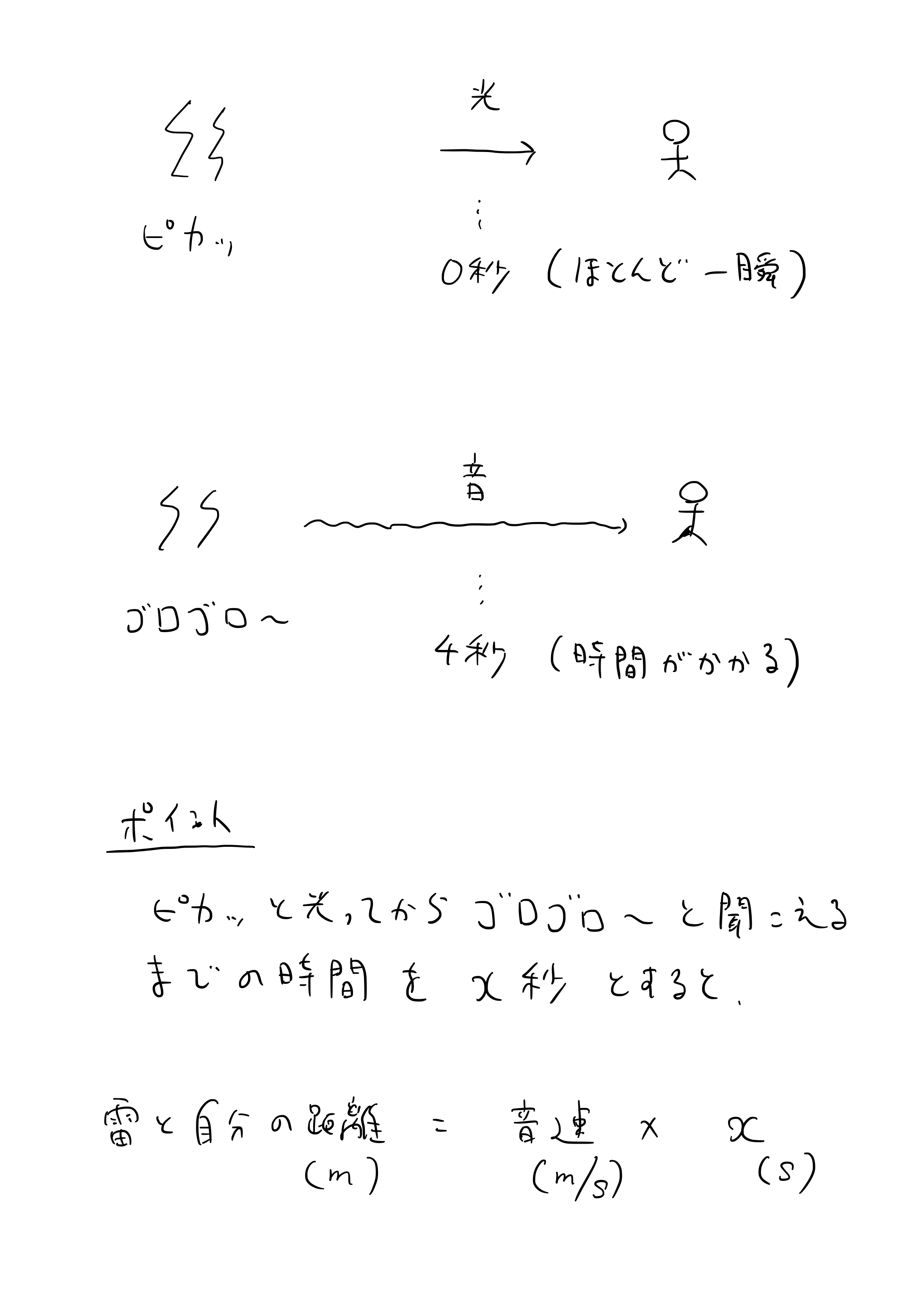
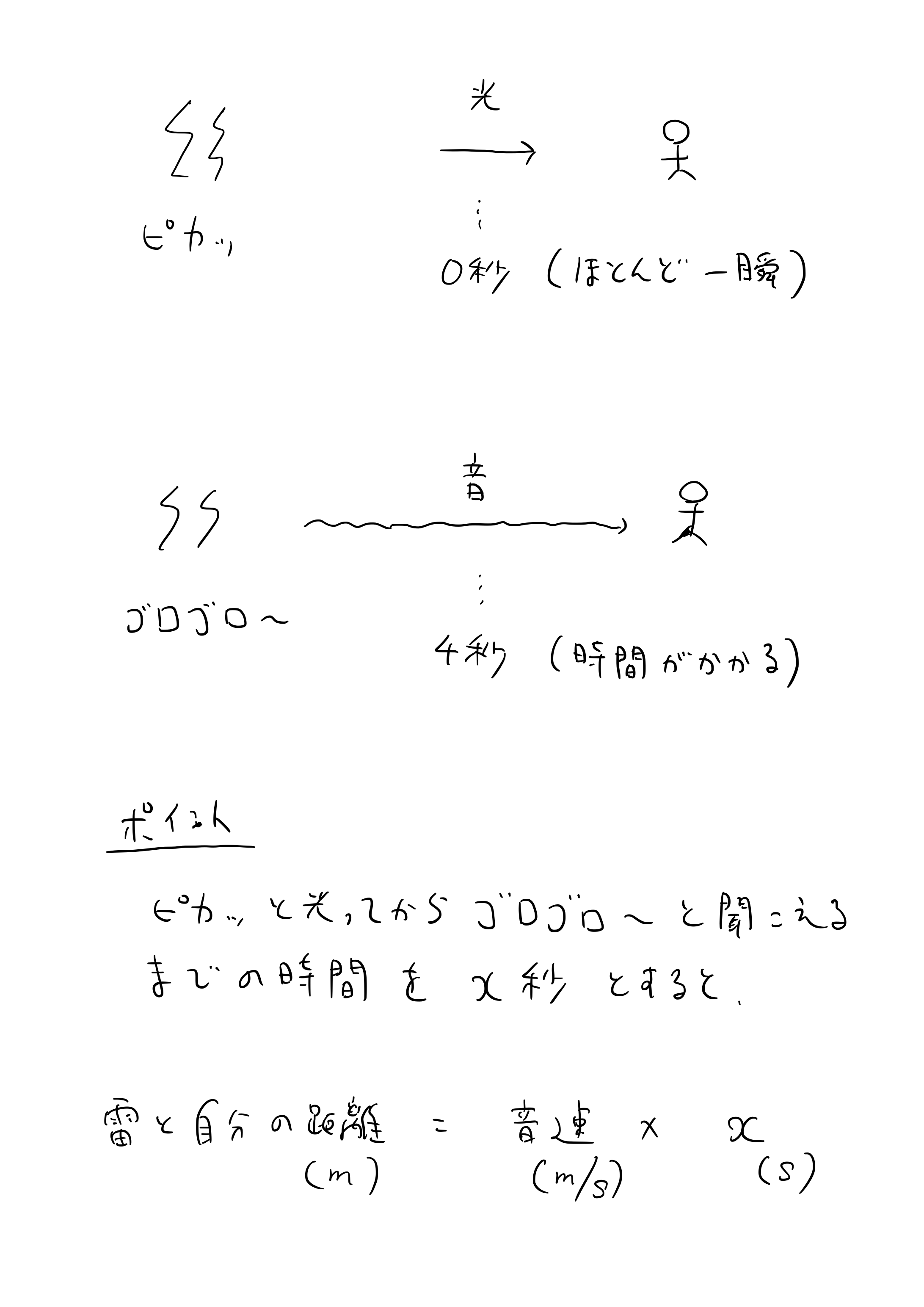
秒速331mと聞くとかなり速く感じられますが、光は秒速30万kmです。雷がピカッと光ったとき、光が見えてから「ゴロゴロ〜」という音が聞こえますよね。このズレは光と音の速さのズレにあります。
光は一瞬で伝わるため、雷がピカッと光ったときは、その瞬間に私たちが雷を見ることになる。たとえ1km離れていても100km離れていても、雷のピカッは一瞬で見える。
しかし100km離れたところで発生した雷は、「ゴロゴロ〜」と聞こえるまでに300秒(5分)ほどかかる。
- 見えるのは一瞬
- 聞こえるのは5分
逆にこの100kmという距離は、光と音の時間のズレから計算できます。
100km = 331m/秒 × 300秒
↑の式はざっくり説明するための式。

velocity-2
音速の問題
あるところで雷が起きた。その雷が見えてから2分後に「ゴロゴロ」という音が聞こえた。雷は自分からどのくらい離れたところに落ちたか? この時の気温が25度だとして計算しなさい。
(解答)
25度の音速は
331 + 0.6 × 25 = 346m/秒
である。よって
346 × 120 = 41520m
41520m離れたところに雷が落ちた。
固体、液体、気体を伝わる速さ
プールの中にいても音は聞こえます。これは音が液体の中でも伝わることを意味します。
そして音は固体の中も伝わります。鉄筋コンクリートのビルの中にいても外の音が(一部)聞こえますが、これは外の音が鉄という固体を通ることを意味します。音は固体、液体、気体のすべてを通ってしまうのです。
音速は、固体、液体、気体の順に遅くなります。
固体中の音速 > 液体中の音速 > 気体中の音速
これは固体が気体よりも分子の密度が高いためです。例えば氷と水蒸気で考えてみましょう。氷も水蒸気も同じ水分子でできています。同じ物質ですが、密度が違う。氷は水分子がぎゅうぎゅうにつまっているが、水蒸気はそうではない。
固体、液体、気体で音速が異なる理由…分子の密度が異なるから












