Sign in
教育
148774 views
LaTeX
956652 views
中学数学
621094 views
雑学
1472443 views
MathPython
489968 views
りんご
189887 views
Computer
364642 views
いろは
2981760 views
小学算数
1193669 views
中学英語
808125 views
中学数学
中1数学
中2数学
正負の数と計算(中学数学)
文字式(中学数学)
一次方程式(中学数学)
平方根(中学数学)
平面図形(中学数学)
立体図形(中学数学)
比例・反比例(中学数学)
式の計算(中学数学)
連立方程式(中学数学)
一次関数(中学数学)
確率(中学数学)
式の展開と因数分解(中学数学)
二次方程式(中学数学)
関数 y = ax²(中学数学)
標本調査(中学数学)
Help
Tools
English
Terms
Privacy
© Rollpie
中学数学
14 Aug 2023
因数分解の解き方を手書きでざっくり解説(2次係数が1の場合)
因数分解
因数分解
因数分解
因数分解
因数分解
因数分解
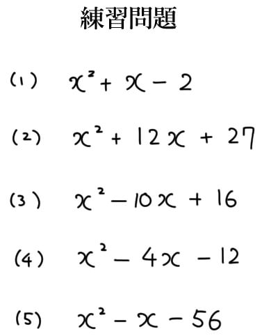
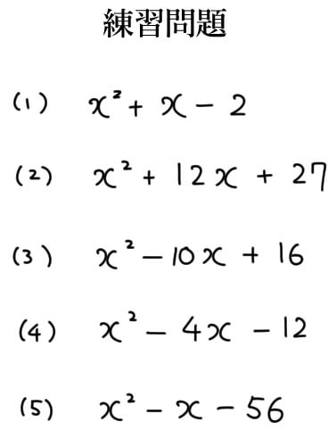
2 次係数が 1 の場合の練習問題
因数分解問題
因数分解問題
因数分解問題
因数分解問題
因数分解問題
因数分解問題
中2数学
中2数学 連立方程式の文章題(速さと道のり)の2通りの解き方
835 views
15 Apr 2019
連立方程式の例題(中学数学)
67 views
14 Aug 2023
連立方程式の代入法を超ざっくり解説
83 views
14 Aug 2023
因数分解のたすきがけを手書きでざっくり解説
120 views
14 Aug 2023
因数分解が平方完成みたいになるパターン
135 views
14 Aug 2023
因数分解の解き方を手書きでざっくり解説(2次係数が1の場合)
60 views
14 Aug 2023
単項式と多項式の計算問題|中学数学
853 views
15 Apr 2019
中2連立方程式の解き方と計算問題(代入法と加減法)
9580 views
14 Aug 2023
傾きと1点の座標から1次関数を求める問題
9157 views
21 Aug 2023
一次関数の傾きと切片を求める問題
11809 views
14 Aug 2023
中学数学 因数分解の解き方と練習問題
5561 views
14 Aug 2023
中2数学 連立方程式の文章題の解き方(十の位と一の位を入れかえる問題)
406 views
15 Apr 2019
中2数学 連立方程式の文章題の解き方(代金と値段)
579 views
15 Apr 2019
中2数学 連立方程式の解を選ぶ問題
505 views
15 Apr 2019
中2数学 連立方程式の文章題の解き方(食塩水の濃度)
1060 views
15 Apr 2019
中2数学 連立方程式の文章題の解説(人数と割合)
1334 views
15 Apr 2019
単項式と多項式の項と次数|中学数学
14937 views
15 Apr 2019
等式の変形|中2数学(式の計算)
2279 views
15 Apr 2019
中2数学まとめ(解説と問題)
3629 views
15 Apr 2019
単項式の意味と係数と次数 確認問題つき
544 views
15 Apr 2019
Ancient Greek philosophers and their ideas about Arche
Veritas
•
30 May 2025
Kierkegaard: Religious Existence and the Difference from Nietzsche
Veritas
•
30 May 2025