酢酸と無水酢酸(分子内脱水反応)
無水酢酸は二分子の酢酸が結合した物質。

カルボン酸7
上図のように一分子の水が放出される。
無水酢酸のように、二分子のカルボン酸(二個のカルボキシ基)が結合して一分子の水が消えた物質を酸無水物という。酸無水物はもはや酸ではなく中性で、無水酢酸も中性である。
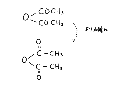
無水酢酸は構造式を書けるようにしよう。

カルボン酸8








高校化学
無水酢酸は二分子の酢酸が結合した物質。

カルボン酸7
上図のように一分子の水が放出される。
無水酢酸のように、二分子のカルボン酸(二個のカルボキシ基)が結合して一分子の水が消えた物質を酸無水物という。酸無水物はもはや酸ではなく中性で、無水酢酸も中性である。
無水酢酸は構造式を書けるようにしよう。

カルボン酸8