単振動の公式と力学的エネルギー保存則
バネ定数 k のばねに質量 m の物体がついているとき、物質をずらして離すと振動する。バネが伸びれば縮む方向に、バネが縮めば伸びる方向に力が働く。これを弾性力という。弾性力の大きさはバネの伸び(または縮み)に比例する。

harmonic-1
伸びる方向に x 軸をとると、バネが x 伸びたときは -kx、バネが x 縮んだときも -kx の力が働くため、バネの運動方程式は
-kx = ma
となる。ここで a は加速度である。位置と加速度(x と a)は右方向を正とすることに注意しよう。
運動方程式の解
-kx = ma の運動方程式は x = A cos ωt を解にもつ。ただし ω = √(k/m) である。

harmonic-6
運動方程式は微分方程式(x とその微分の多項式がイコールでつながっている式)の一つであり、微分方程式の解は一つとは限らない。バネの運動方程式の解はほとんどの場合、無限にある。実際 cos についている定数の A は任意の実数である。
A はバネをずらして離したときに位置である。
cos の中身も ωt である必要はない。θ を任意の角度として x = A cos (ωt + θ) は運動方程式の解になる。

harmonic-7
cos のカッコの中は t についている定数 ω が重要であり、バネの振動周期を決めている。
力学的エネルギー
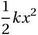
重力のときは位置エネルギーが高さに比例したが、上図の物体は高さは変わっていない。位置エネルギーの代わりに弾性エネルギーがある。弾性エネルギーはバネが伸びれば伸びるほど、または縮めば縮むほど大きくなるようなエネルギーで

harmonic-2
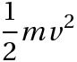
と定められる。運動エネルギーは

harmonic-3
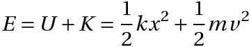
であり、力学的エネルギー E は

harmonic-4
となる。E が保存すること、つまり時間で微分しても 0 になることを示す。

harmonic-5
TeXコード
単振動1
x &=& A \cos \omega t \
v &=& -\omega A \sin \omega t \
a &=& -\omega^2 A \cos \omega t = -\omega^2 x \
a &=& -\dfrac{kx}{m} \
ma &=& -kx \
-kx &=& ma
単振動2
x &=& A \cos (\omega t + \theta) \
v &=& -\omega A \sin (\omega t + \theta) \
a &=& -\omega^2 A \cos (\omega t + \theta) = -\omega^2 x \
a &=& -\dfrac{kx}{m} \
ma &=& -kx \
-kx &=& ma
力学的エネルギー
E=U+K=\dfrac{1}{2}kx^2+\dfrac{1}{2}mv^2
保存則
E '&=&kxx '+mvv '\
&=&kxv+mva\
&=&v(kx+ma)\
&=&0
















