根号・ルート(数学Ⅰ)
ルート2=1.41421 35623(一夜一代に夢見頃)…ルート3=1.73205 08075(人並みにおごれや)…ルート5=2...
二重根号の外し方と計算例(高校数学Ⅰの平方根)。二重根号の計算は、ルートの中の係数が2のときと、2でないときで場合分けします
1から125までの立方根を表にまとめました。
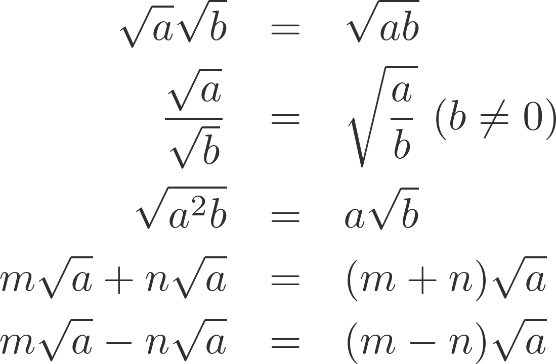
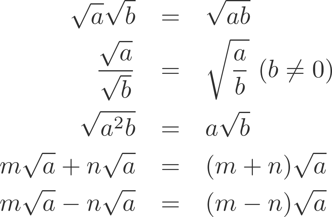
ルート計算の速度は大学受験の数学力に影響します.暗記は思考に勝ち,思考時間を減らすごとに数学の点数は上がるため,よく出る計算は覚...










数学講師
ルート2=1.41421 35623(一夜一代に夢見頃)…ルート3=1.73205 08075(人並みにおごれや)…ルート5=2...
二重根号の外し方と計算例(高校数学Ⅰの平方根)。二重根号の計算は、ルートの中の係数が2のときと、2でないときで場合分けします
1から125までの立方根を表にまとめました。
ルート計算の速度は大学受験の数学力に影響します.暗記は思考に勝ち,思考時間を減らすごとに数学の点数は上がるため,よく出る計算は覚...