複素数平面の公式まとめ(共役、絶対値、arg、ド・モアブルの定理)
複素数平面は実数をx軸、虚数をy軸に表した座標です。(a,b)はa+biを表します。

complex_number_1
複素数の足し算は、複素数をベクトルとみなしたときの足し算に似ています。

complex_number_2
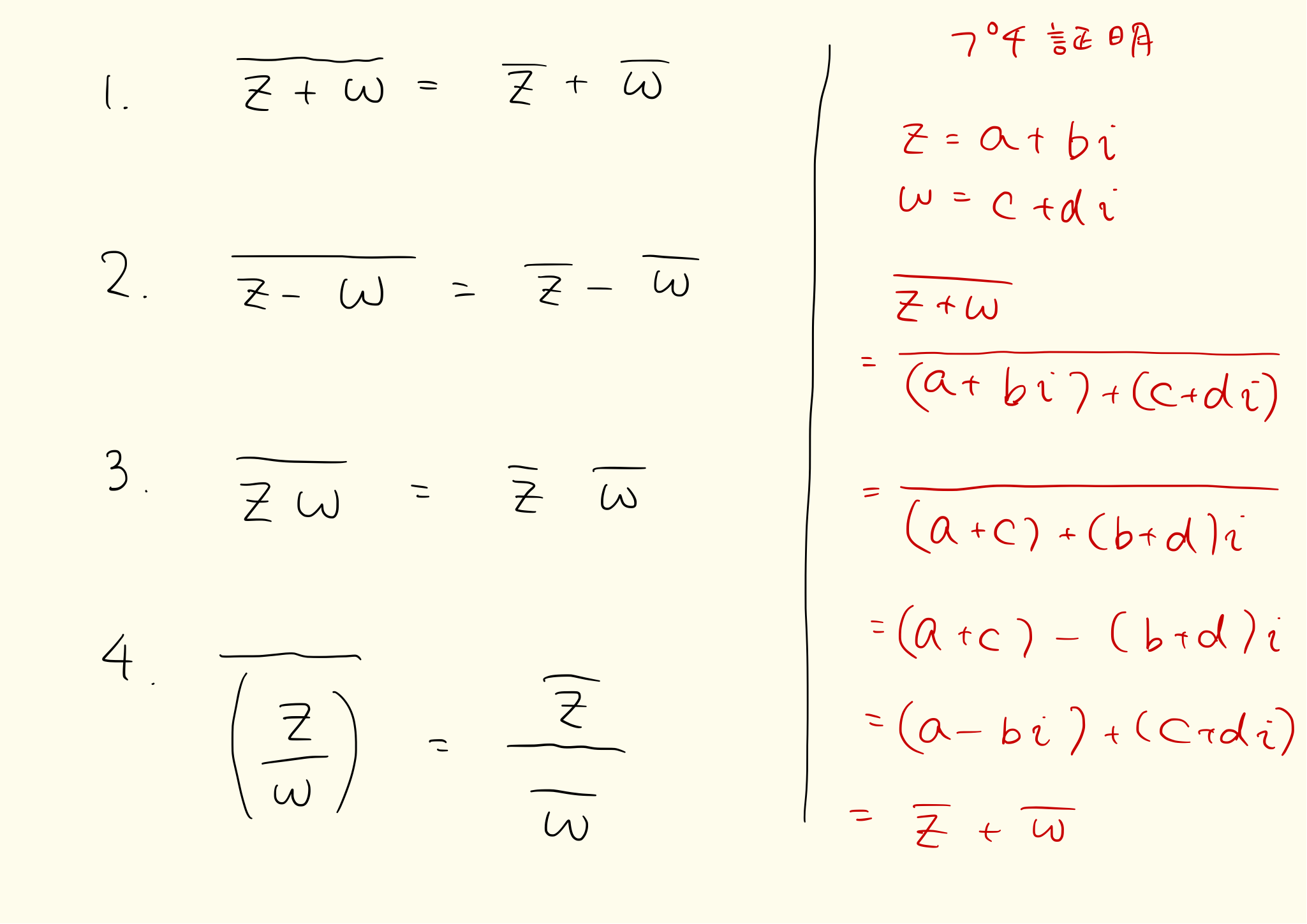
共役
複素数の共役はx軸を軸とした線対称です。

complex_number_3

complex_number_4

complex_number_6

complex_number_7
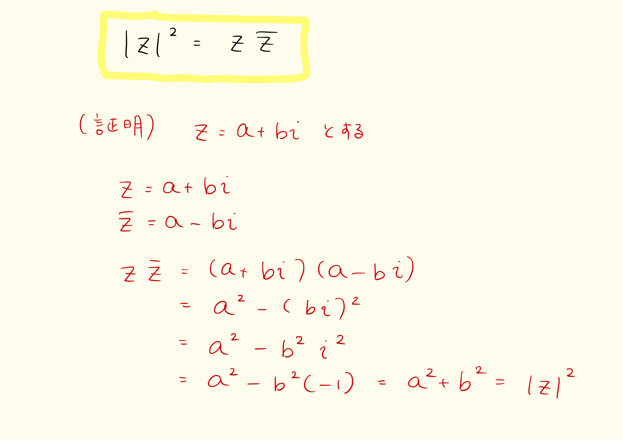
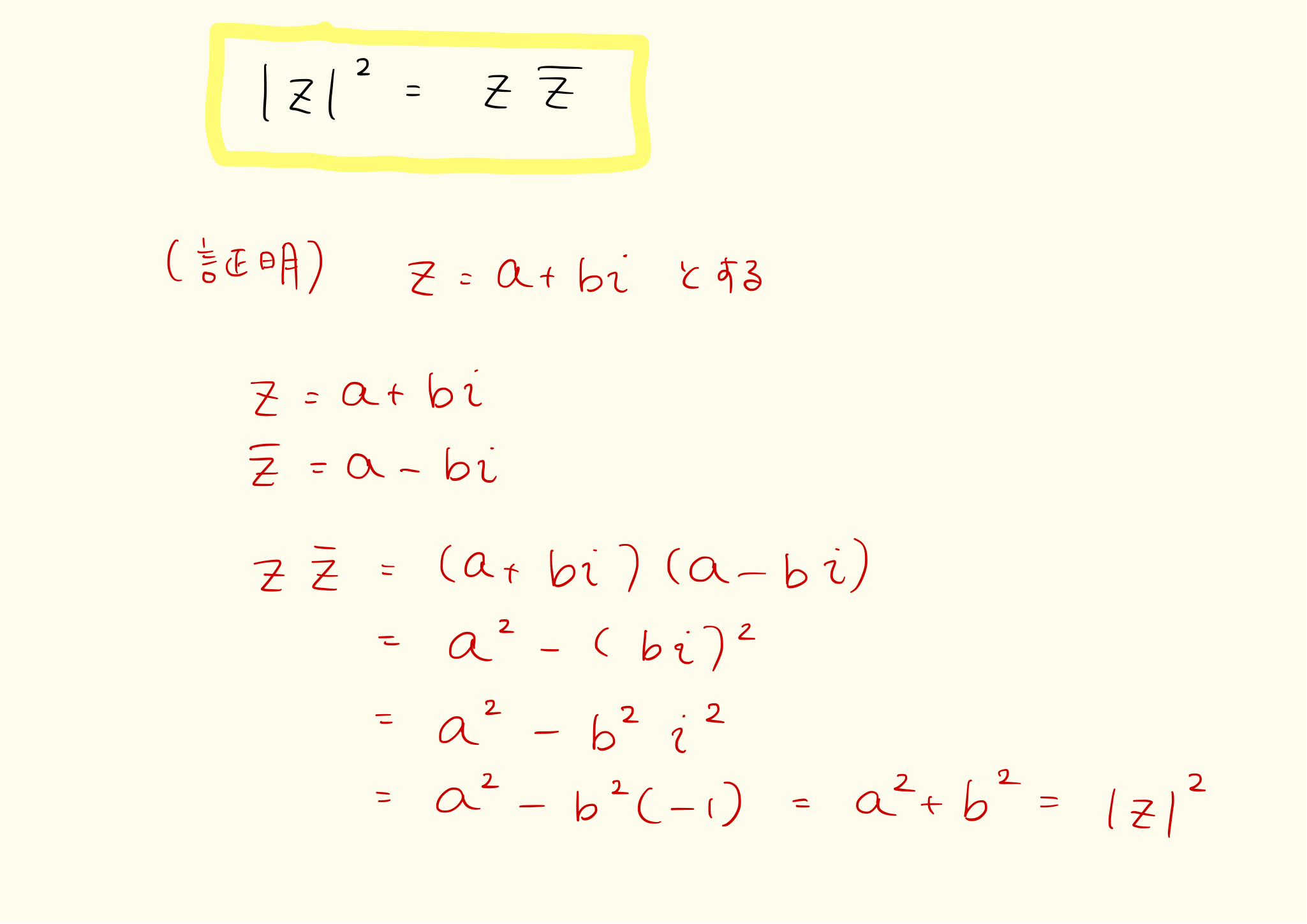
絶対値

complex_number_5

complex_number_8

complex_number_9
arg
複素数とx軸のなす角をargで表します。

complex_number_10

complex_number_11
ド・モアブルの定理

complex_number_12
三点のなす角

complex_number_13












