因数分解の解き方と問題(応用)
はじめに

因数分解2の1

因数分解2の2
今回はタイトルに『応用』とついていますが、それは分解要素にマイナスがあるからです。足して1、かけて−12になる数は4と−3。この−3という数がちょっとくせもので、ここで嫌になってしまう人がいます。マイナスが出てきても上のプリントのようにそのままXに足してしまえばいいのです。マイナスを足すということは、引くことですね。したがって上のようにX−3という因数が出てきます。
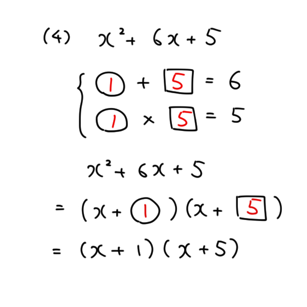
例題

因数分解2の3

因数分解2の4

因数分解2の5
3つの例題をあげました。ここから練習問題に入りますが、スマホなどで見ている人は一度例題をそのまま紙に写すことをおすすめします。丸とか四角とかは書かなくてもいいですが、足して−7、かけて12という二つの式を並べるところは何度か書くといいですね。紙に書き終わったら次の練習問題に入ってください。
練習問題

因数分解2の6

因数分解2の7

因数分解2の8

因数分解2の9

因数分解2の10











